臭氧+粉末活性炭催化剂处理含吡啶废水实验
2010 年,中国已经成为世界上很大的制造国]。工业的快速发展引发了严重的环境问题, 2018 年,中国地表水中仍有29. 0%的水体在IV 类以下]。吡啶广泛应用于工业生产的各个行业是一类具有较大危害性的物质。臭氧作为一种强氧化剂,常用于污水处理当中。然而,吡啶吸电子特性较强,具有抗臭氧化作用。另外,臭氧分子的水溶性较差,利用率低,运行成本高。通过向臭氧体系中投加催化剂,催化臭氧产生·OH 可以解决这些问题。粉末活性炭的催化效果好,但在水中不易分离,通过在其上负载磁性物质,可以很好的实现催化剂的分离回收。文章采用碱性共沉淀法制备了磁性活性炭作为臭氧催化剂,对于含吡啶废水的处理以及实现催化剂的回收具有重要的意义。
1.材料与方法
1.1 仪器与试剂
臭氧发生器 ;分光光度计 ; 离心机; 恒温加热磁力搅拌器; 数显鼓风干燥箱; 超高效液相色谱 ; 扫描电镜 ; TOC 测定仪 ; X 射线粉末衍射仪,FeSO4·7H2O、FeCl3·6H2O、NaOH、吡啶、浓盐酸、浓硝酸、叔丁醇、无水亚硫酸钠,以上试剂均为分析纯试剂。实验用水为超纯水,粉末活性炭。
1.2 实验方案及反应装置
1.2.1 磁性活性炭的制备
本实验采用碱性共沉淀法在粉末活性炭上负载
四氧化三铁,制备磁性活性炭,具体方法如下:首先,筛分出180 ~ 300 目的粉末活性炭,然后用超纯水洗去活性炭表面的粉尘,之后放入稀释20倍的盐酸∶硝酸= 3∶1( 体积比) 溶液中,并对溶液施加超声1 小时。之后用超纯水冲洗粉末活性炭,洗至上清液呈中性,置活性炭于104℃烘干,备用。称取1. 39 g FeSO4 ·7H2O 与2. 70 g FeCl3 ·6H2O 置于250 mL 的烧杯中,倒入150 mL 超纯水配置Fe3 +∶Fe2 + = 2∶1 的混合溶液,加入1. 46 g 预处理后的粉末活性炭,快速搅拌30 min,使溶液混合均匀。然后,使用恒温水浴锅控制混合溶液温度为70℃并搅拌,同时逐滴将50 ml 的2M 氢氧化钠溶液快速滴入混合液中,反应时间为1 h。反应完成后,用超纯水清洗复合材料,洗至上清液呈中性,将得到的沉淀在烘箱中于60℃烘干,作为磁性活性炭催化剂备用。
1.2.2 臭氧水的制备
在密封的容器中倒入超纯水,通过钛合金曝气头不断曝入臭氧。将容器放入水浴磁力搅拌器中,控制水浴温度至6℃以下,以提高臭氧的溶解度,不断搅拌水溶液,提高臭氧溶解效率。在曝气过程中,通过分光光度法不断测定臭氧水的浓度,当测定的臭氧水浓度达到实验进行所需要的浓度时停止曝气,立即进行催化臭氧氧化实验。
1.2.3 催化臭氧氧化降解吡啶实验
将制备的臭氧水取500 mL 置于烧杯中,加入所需质量的吡啶与磁性活性炭,通过搅拌桨不断搅拌。按照要求在0 min、1 min、2 min、3 min、4 min、5 min、10min 时取样,把取得的样品通过0. 45 微米的聚醚砜滤膜过滤去除催化剂,为了终止臭氧反应,再滴入一定量的亚硫酸钠溶液,得到的溶液作为待测样品保存。
1.3 催化剂的表征方法
通过XRD 分析,判断活性炭负载的磁性物质的晶体结构; 通过扫描电镜分析,判断活性炭负载前后表面结构的变化; 通过FTIR 分析,得到活性炭表面官能团的变化。
1.4 吡啶浓度测定方法
本实验采用高效液相色谱法来检测吡啶的浓度,本实验中应用的是安捷伦液相色谱,色谱柱为C18 色谱柱,色谱仪的流动相采用的是乙腈和水,比例为40∶60,流动相的流量设定为0. 2 mL /min,检测器波长为254 nm。
1.5 臭氧水浓度测定
臭氧水浓度测定: 通过紫外分光光度法检测臭氧水的浓度,取一定体积的臭氧水注入1 cm 的比色皿中,分光光度计的波长设定为260 nm,测定臭氧水的吸光度,根据郎伯- 比尔定律计算臭氧浓度,计算公式如( 1) :
2.结论

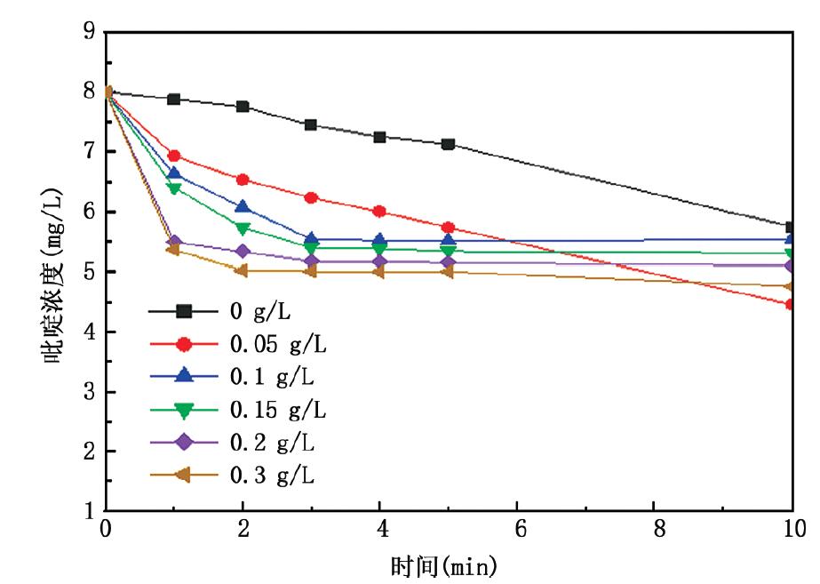
文章以粉末活性炭为载体,通过碱性共沉淀法制备了磁性活性炭。通过XRD 和扫描电镜对粉末活性炭和磁性活性炭进行表征,证明活性炭上成功地负载上了四氧化三铁。以磁性活性炭为催化剂,催化臭氧降解吡啶,提高了吡啶的去除效果。向催化体系中投加叔丁醇,发现吡啶去除效果降低,说明催化体系中有·OH 的生成。对反应过程中的TOC 进行了测定,发现单独臭氧化体系对TOC 基本没有去除,而催化体系中TOC 的去除率可以达到17. 45%,说明·OH 可以提高吡啶的矿化度。通过沉淀实验发现磁性活性炭具有良好的磁分离性能。
曹一丰,陈志强,温沁雪
( 哈尔滨工业大学环境学院城市水资源与水环境国家重点实验室,黑龙江哈尔滨150090)